SATISHKUMAR PATEL |
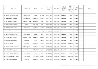
- પોરબંદર જીલ્લાફેર સિનિયોરિટી લિસ્ટ ૨૦૧૬
- પ્રાથમિક શાળાના વિદ્યાર્થીઑને મળતી શિષ્યવૃતિ માટે Digital Portal નો ઉપયોઞ કરવા બાબતનો પરિપત્ર. ૮/૭/૨૦૧૬
- દેવભૂમિ દ્વારકા / જામનઞર જિલ્લા વિભાજન વિકલ્પ કેમ્પ પરિપત્ર. ૭/૭/૨૦૧૬
- આર્થિક રીતે પછાત જાતિના વિદ્યાર્થીઑને વિદેશ અભ્યાસ માટે લોન આપવા બાબતનો પરિપત્ર. ૫/૭/૨૦૧૬
| પોરબંદર જીલ્લાફેર સિનિયોરિટી લિસ્ટ ૨૦૧૬ Posted: 08 Jul 2016 08:54 AM PDT |
| Posted: 08 Jul 2016 07:21 AM PDT |
| દેવભૂમિ દ્વારકા / જામનઞર જિલ્લા વિભાજન વિકલ્પ કેમ્પ પરિપત્ર. ૭/૭/૨૦૧૬ Posted: 08 Jul 2016 05:59 AM PDT |
| આર્થિક રીતે પછાત જાતિના વિદ્યાર્થીઑને વિદેશ અભ્યાસ માટે લોન આપવા બાબતનો પરિપત્ર. ૫/૭/૨૦૧૬ Posted: 07 Jul 2016 08:21 PM PDT |
| You are subscribed to email updates from SATISHKUMAR PATEL. To stop receiving these emails, you may unsubscribe now. | Email delivery powered by Google |
| Google Inc., 1600 Amphitheatre Parkway, Mountain View, CA 94043, United States | |












ટિપ્પણીઓ નથી:
ટિપ્પણી પોસ્ટ કરો